Publié le 01 janvier 2012

2000 : premières études sur l'ostéoporose des spationautes

  • Actualité

  • Vols habités

Série : 50 ans de résultats scientifiques

L'astronaute Sergei Volkov à sa sortie de la capsule Soyouz
Astronaute Sergei Volkov à sa sortie © Photo Associated Press

Depuis le début des missions habitées, on soupçonnait la microgravité d'induire une fragilité osseuse chez les spationautes. En 2000, les premières recherches sur l'ostéoporose des spationautes démarrent et montrent que cette adaptation à la micropesanteur ne prend pas fin avec le retour des spationautes sur Terre. 

Actuellement, les études se poursuivent et concernent le suivi de spationautes ayant passé plus de six mois dans l'espace car le point de retour à l'équilibre n'est toujours pas connu.

ll règne dans l’espace des conditions extrêmes et l’appareil locomoteur est utilisé différemment en microgravité. Comme le disait déjà Jean Baptiste Lamarck, au 18éme siècle, « la fonction crée l’organe ». On s’attend ainsi à des adaptations « structure-fonction » des tissus de soutien.

L’os adulte est un tissu actif, soumis à un remodelage par résorption d’os ancien suivie de formation d’os nouveau. Ce renouvellement permet :

  • de réguler de nombreuses voies métaboliques
  • de remplacer l’os abîmé par de l’os nouveau
  • d'adapter le corps aux contraintes mécaniques auxquelles il doit faire face localement par un renforcement de l'os là où les contraintes augmentent (cas des sports à impact) et par une diminution de la matrice osseuse là où elles diminuent.

L’os se compose de deux types de structures : l’os trabéculaire et l’os cortical. L’os trabéculaire est formé de tiges ou travées de soutien et occupe l’intérieur des vertèbres, du bassin, des os plats et des extrémités des os longs. Il constitue 20 % du squelette. L’os cortical ou compact, qui compose 80 % du squelette, recouvre tous les os. Les deux compartiments osseux, cortical et trabéculaire sont différents.

Lors de fragilités osseuses (spationautes et patients ostéoporotiques) il faut prévenir la survenue de la fracture. Le diagnostic se base actuellement sur la densitométrie, méthode qui évalue une Densité Minérale Osseuse (DMO) globale. On établit ainsi un score individuel (t score) qui sera comparé aux scores obtenus dans une population référente de jeunes adultes sains.

Pour essayer de différencier les compartiments osseux, un miniscanner a été construit tout d’abord pour les besoins des cosmonautes (Densiscan, Société Scanco Medical, Suisse). La première version de cet appareil tomographique mesure séparément, la DMO corticale et trabéculaire d’un os non porteur, le radius et d’un os porteur, le tibia.

 

Les cosmonautes mis à contribution

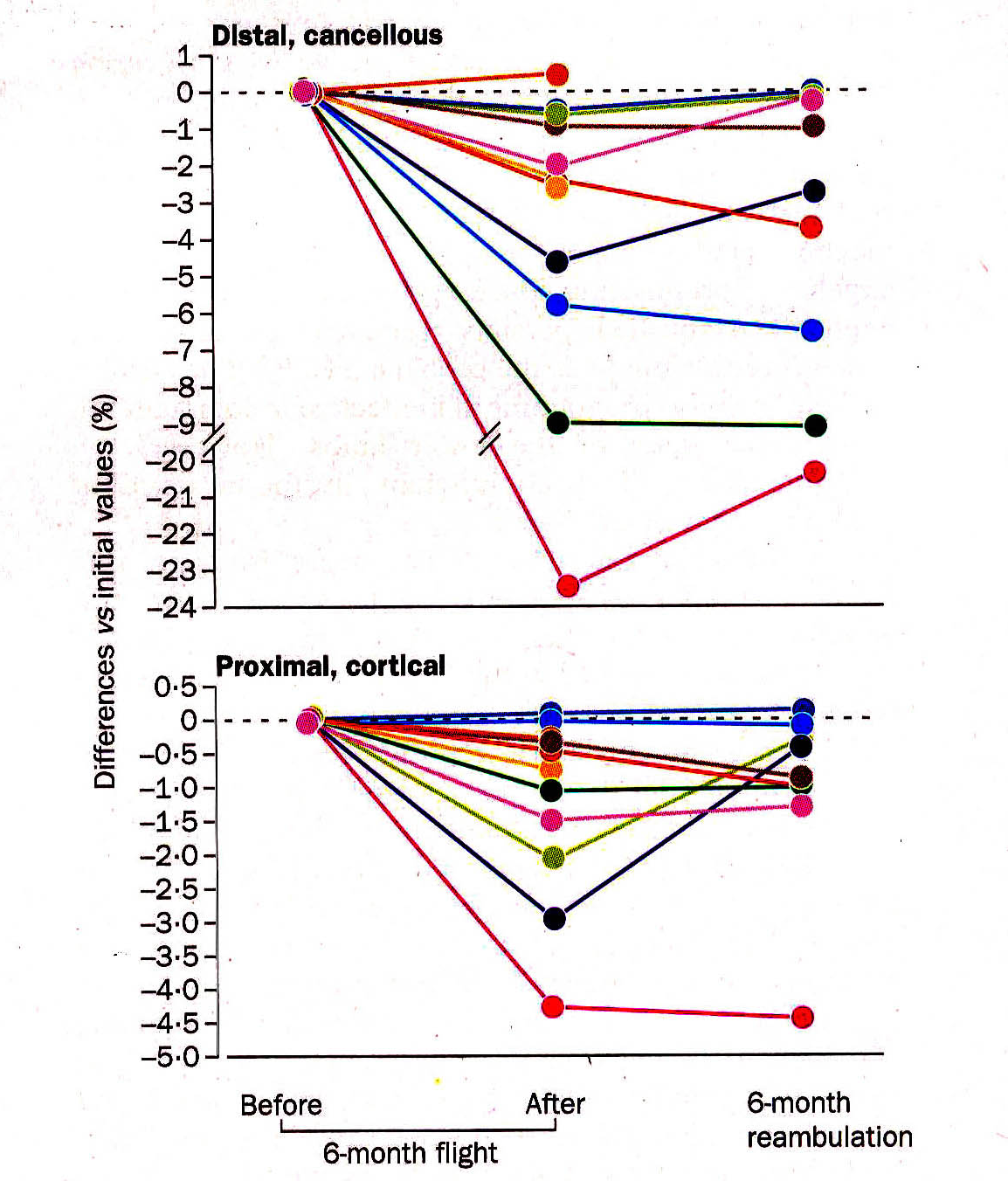
Ainsi, une cohorte de cosmonautes ayant séjourné entre 1 et 6 mois à bord de la station spatiale MIR, a été mesurée. Les résultats ont montré une perte osseuse importante dans les os porteurs (rien au radius) et surtout au niveau trabéculaire.

Densité osseuse des spationautes
  • Cosmonaute 5 (174 jours)
  • Cosmonaute 7 (0 jour)
  • Cosmonaute 9 (198 jours)
  • Cosmonaute 11 (0 jour)
  • Cosmonaute 13 (0 jour)
  • Cosmonaute 15 (60 jours)
  • Cosmonaute 6 (180 jours)
  • Cosmonaute 8 (0 jour)
  • Cosmonaute 10 (460 jours)
  • Cosmonaute 12 (126 jours)
  • Cosmonaute 14 (0 jour)
Densité osseuse des spationautes après 6 mois

Pire, six mois après le retour d’un séjour de même durée on ne voyait aucune récupération. D’autres études utilisant la densitométrie ont aussi suggéré que la perte osseuse est effective dans la moitié inférieure du corps.

Il est intéressant de mettre en parallèle la re-répartition des liquides physiologiques (afflux de sang vers les régions thoraco-céphaliques au dépend des membres inférieurs) et des minéraux dans le squelette.

Il a été montré que, chez des rats, la perte osseuse de l’immobilisation s’accompagne d’une diminution du nombre de vaisseaux intra-osseux et que le gain osseux de l’exercice physique s’accompagne d’une angiogénèse (développement de nouveaux vaisseaux sanguins à partir des vaisseaux existants) ; ce gain est complètement inhibé si on traite les animaux par un anticorps bloquant un facteur angiogénique majeur, le VEGF (Vascular Endothelial Growth Factor).

 

Quels sont les mécanismes responsables de la perte osseuse accélérée et localisée après un vol spatial ?

La série BIOCOSMOS de vols russes a montré qu’il y avait une diminution de la formation osseuse et de la croissance des os longs et une augmentation précoce et transitoire de la résorption osseuse associées à une perte osseuse chez des rats.

Chez les spationautes, les activités cellulaires osseuses s’apprécient par des marqueurs osseux sériques ou urinaires. Ils révèlent un découplage du remodelage osseux mais leur caractère systémique ne permet pas de savoir où se situe la perte osseuse.

Densite osseuse Xtreme CT

Une version plus performante du Densiscan, appelée Xtreme CT a été installée à la cité des Etoiles. Elle permet d’analyser la microarchitecture de l’os et donc de caractériser l’enveloppe corticale et le réseau trabéculaire ainsi que de prédire des paramètres biomécaniques. Les mesures de cosmonautes avant et après (suivi au long court) séjour à bord de l’ISS ont débuté.

Il apparaît donc que notre squelette s’adapte à ses nouvelles fonctions mécaniques. Le problème n’est donc pas pendant l’exposition à la microgravité mais au retour sur terre, d’autant que la récupération semble beaucoup plus longue que le temps de vol.

Notons cependant que si certains spationautes présentent des pertes osseuses spectaculaires d’autres semblent insensibles. Pourquoi ? Y a-t-il un terrain génétique ? Pourra t-on un jour sélectionner des spationautes « résistants » ? De telles variabilités individuelles sont aussi retrouvées lors des bed rest, lorsque des volontaires sains sont alités afin de mimer certains effets de l’espace.

Finalement les problématiques et études effectuées en microgravité permettent avant tout de mieux connaître nos problèmes sur terre.

 

Voir aussi

Laboratoire de Biologie Integrative du Tissu Osseux