Résultats

Résultats clés

Voici quelques résultats importants de l'observatoire spatial solaire SOHO.

  • Découverte des éjections de masse coronale (CME) fréquentes

  • Mise en évidence de la rotation du noyau solaire en tant que corps rigide

  • Localisation de l'origine du vent solaire rapide

Synthèse des résultats

Parmi les nombreux résultats obtenus concernant l'étude de l'intérieur du soleil (héliosismologie) et des couches externes (chromosphère, zone de transition et couronne), il faut citer :

  • La rotation du centre du soleil (noyau) semble celle d'un corps rigide. La vitesse de rotation est voisine de celle de la surface (GOLF).
  • La vitesse du son déduite des mesures est en bon accord avec les modèles solaires les plus récents jusqu'à 0,1 rayon solaire, mais il existe un désaccord près du centre en-dessous de 0,1 rayon solaire (GOLF).
  • La découverte de la localisation de l'origine du vent solaire rapide (SUMER) en bordure du réseau chromosphérique.
  • La première détermination de la température dans la couronne au-dessus d'un trou polaire source du vent solaire rapide (SUMER/CDS).
  • Les mesures de la densité électronique, de la température et des vitesses du plasma de la région de transition dans différentes structures (SUMER/CDS).
  • La très grande instabilité temporelle du soleil calme à toute les échelles spatiales (EIT).
  • La détection et la cartographie de l'hélium ionisé dans la basse couronne produisant une élévation brutale du bord solaire dans les trous coronaux (macrospicules, EIT).
  • La découverte du très grand nombre d'éjections de masse coronale (CME) (plusieurs par jour) qui sont déclenchées à la base de l'atmosphère (souvent avec l'éruption d'un filament) et le suivi de leur propagation dans l'espace (EIT/LASCO).
  • L'observation de plus de 5000 comètes rasantes (LASCO).
  • La première cartographie de la répartition de l'hydrogène dans l'héliosphère et de son évolution en fonction du cycle solaire (SWAN).
  • La détection des régions actives sur la face cachée du soleil (SWAN) (c’est-à-dire au niveau des régions situées de l’autre côté du soleil qui ne sont pas encore visibles du satellite SOHO).
  • La détection des comètes par la signature en rayonnement L de leur dégazage (SWAN).
Images produites par SOHO, éjection de masse coronale
Images produites par SOHO : Éjection de masse coronale © ESA & NASA ; NASA/SDO/AIA, JHelioviewer/D. Müller

Découverte des éjections de masse coronale (CME) fréquentes

Les instruments EIT (Extreme Ultraviolet Imaging Telescope) et LASCO (Large Angle and Spectrometric Coronagraph) à bord de la mission SOHO ont permis des avancées majeures dans l'observation des éjections de masse coronale (CME). Le Soleil peut produire plusieurs CMEs par jour en période de maximum d'activité, souvent déclenchées à la base de l'atmosphère solaire en association avec l'éruption de filaments. Ces éjections projettent des nuages de plasma magnétisés dans l'espace interplanétaire, qui peuvent atteindre des vitesses de l'ordre de 2000 km/s. Par ailleurs, l'instrument EIT, dont l'Institut d'Astrophysique Spatiale (IAS) est l’Investigateur Principal (PI) a permis la découverte des "ondes coronales", également appelées "ondes EIT", qui sont des perturbations se propageant dans la couronne solaire à la suite de certaines CMEs, et pouvant avoir un impact global sur la structure magnétique de la couronne. Ces ondes fournissent des informations précieuses sur les interactions entre les éjections de masse coronale et la structure de la couronne solaire. 

Ejection de masse coronale autour du disque solaire masqué.
Une éjection de masse coronale imagée par l’instrument LASCO du satellite SOHO le 7 avril 1997 à 15h52 UT. © B. J. Thompson et al., The Astrophysical Journal, 1999.

bpc_soho_ejection-masse-coronale-lasco.png

Une éjection de masse coronale imagée par l’instrument LASCO du satellite SOHO le 7 avril 1997 à 15h52 UT. 

Pour en savoir plus : SOHO/EIT Observations of the 1997 April 7 Coronal Transient: Possible Evidence of Coronal Moreton Waves, B. J. Thompson et al., The Astrophysical Journal, 517, L151–L154, 1999. https://iopscience.iop.org/article/10.1086/312030

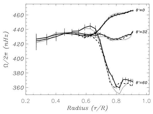
Mise en évidence de la rotation du noyau solaire en tant que corps rigide

Les mesures effectuées par l'instrument GOLF (Global Oscillations at Low Frequencies) de la mission SOHO ont permis d'étudier la rotation interne du Soleil. Les données combinées à celles de MDI/SOHO (Michelson Doppler Imager) ont révélé que la rotation différentielle en latitude observée en surface se conserve dans les couches externes (jusqu'à 0,8 rayon solaire) pour s'amenuiser progressivement jusqu'à la partie supérieure de la zone radiative (à environ 0,67 rayon solaire) et laisser place à une rotation rigide en deçà. La zone radiative tourne avec une période d'environ 27 jours, soit la rotation des couches externes à une latitude proche de 30°. Cette découverte a des implications majeures pour notre compréhension de la dynamique solaire et des mécanismes de transport d'énergie et de moment angulaire ainsi que de la génération de champ magnétique à l'intérieur de l'étoile.

Profils de rotation des couches internes du Soleil aux latitudes 0°, 32° et 60°. Données obtenues avec les instruments LOWL, GONG et MDI du satellite SOHO.
Profils de rotation des couches internes du Soleil aux latitudes 0°, 32° et 60°. Données obtenues avec les instruments LOWL, GONG et MDI du satellite SOHO. © A. Eff-Darwich et al., The Astrophysical Journal, 2002.

Image2.png

Profils de rotation des couches internes du Soleil aux latitudes 0°, 32° et 60°. Données obtenues avec les instruments LOWL, GONG et MDI du satellite SOHO. 

Pour en savoir plus : Inversion of the Internal Solar Rotation Rate, A. Eff-Darwich et al., The Astrophysical Journal, 573 857 ; DOI 10.1086/340747, 2002. https://iopscience.iop.org/article/10.1086/340747

Localisation de l'origine du vent solaire rapide

Les observations réalisées par l'instrument SUMER (Solar Ultraviolet Measurements of Emitted Radiation) à bord de SOHO ont permis de localiser l'origine du vent solaire rapide. Ces mesures ont montré que ce vent provient des des frontières de ce que l'on appelle le réseau chromosphérique, dans les trous coronaux, des régions de la couronne solaire caractérisées par des lignes de champ magnétique ouvertes et une faible densité de plasma. Le vent solaire rapide se propage dans l'héliosphère à des vitesses pouvant atteindre 800 km/s. Cette découverte a amélioré notre compréhension des mécanismes d'accélération du vent solaire et de son interaction avec le milieu interplanétaire.

Zoom sur une région de la surface du Soleil montrant la carte des vitesses Doppler du gaz à la base de la couronne solaire, chauffé à des millions de degrés d’où le vent solaire est originaire. Images et données obtenues avec les instruments SUMER et EIT du.
Zoom sur une région de la surface du Soleil montrant la carte des vitesses Doppler du gaz à la base de la couronne solaire, chauffé à des millions de degrés d’où le vent solaire est originaire. Images et données obtenues avec les instruments SUMER et EIT. © SOHO/SUMER et SOHO/EIT/ESA/NASA.

Image3.jpg

Zoom sur une région de la surface du Soleil montrant la carte des vitesses Doppler du gaz à la base de la couronne solaire, chauffé à des millions de degrés d’où le vent solaire est originaire. Images et données obtenues avec les instruments SUMER et EIT.

Pour en savoir plus : Solar Wind Outflow and the Chromospheric Magnetic Network, D. M. Hassler et al., Science, vol. 283, issue 5403, 810, 1999. https://www.science.org/doi/10.1126/science.283.5403.810

Actualités du projet